LDO性能优化的应用技巧
摘要
本文围绕LDO性能优化的关键环节展开,系统阐述了从启动过程控制、不同负载条件下稳定工作到瞬态响应提升的全链路应用技巧。内容涵盖启动过冲抑制、电子负载在CC/CR模式下的适应性优化、启动震荡改善、负载瞬态响应增强以及多器件并联设计等实用方向。通过结合原理分析与方法总结,本文旨在为工程师提供一系列可实施的LDO电路优化方案,助力实现更稳健、高效的电源设计。
1 LDO基础简介
LDO(Low Dropout Regulator,低压差线性稳压器)是一种直流线性稳压器,其核心特点是能在极低的输入输出电压差下稳定工作。压差(Dropout Voltage)是指在一定的负载电流下维持额定输出电压所需的最小输入电压与输出电压的差值(即V in -Vout )。例如,压差为0.2V的LDO,意味着从3.3V输出稳定,输入电压只需达到3.5V即可。
典型的LDO包含四个核心部分:基准电压源、误差放大器、调整管和反馈电阻网络,构成一个闭环控制系统,电路结构如图1所示。当输出因负载或输入变化而偏离设定值时,反馈电压随之变化。误差放大器检测到此变化,并反向控制调整管的导通程度,从而将输出电压拉回至目标值,形成一个动态的、连续的精密调节过程。

上述LDO典型结构是实现稳压功能的基础,但在实际复杂的应用环境中需确保自身和后续负载电路的安全可靠运行,LDO 通常集成了多种重要的保护功能模块。图 2 为圣邦微电子公司的SGM2205 [1] 内部结构图,其集成了限流保护、过热保护、反灌电流保护、快速放电电路等模块。

LDO的架构与工作原理在理论上很清晰,然而,当工程师将其投入到真实的电路设计中时,往往会遇到一系列由实际应用条件引发的挑战。接下来,本文将聚焦LDO性能优化的关键应用场景,阐述其相应的有效优化方案。
2 启动过冲控制
2.1 产生原理

图3中LDO的EN端通过上拉电阻和Vin连在一起,Vin从0开始缓慢上升。当Ven上升到大于 Vih时,Vout开始有输出(如图4中红色虚线标记)。此时Vin小于Vout_nom+Vdrop,LDO工作在压差区, Vout 以Vdrop的压差跟随Vin上升,环路不起作用。当Vin上升到大于Vout_nom+Vdrop时,环路开始调节输出稳压至设定值。但环路响应需要一定时间,此过程中Vout仍会跟随Vin上升,因此表现为产生输出过冲。出现启动过冲的波形示意如图5所示。


2.2 抑制方法
若想抑制由于工作状态切换(从压差区转入稳压区)导致的环路响应速度而引入的输出过冲问题,一种实现方法是提高 Vin的上升速度,使得 EN 使能Vout输出时,Vin已经迅速升高到大于 Vout_nom+Vdrop,进入稳压区,进而抑制输出过冲。波形示意如图6所示。
另一种实现方法是EN端对地接一个电容,以降低Ven的上升速度,使得EN使能Vout输出时, Vin已经升高到大于Vout_nom+Vdrop,从而消除输出过冲。波形示意如图7所示。

3 电子负载CC模式带载启动分析
LDO在启动初始阶段,其输出电流能力并未达到额定最大值,而是随着输出电压Vout的逐渐建立而稳步提升。在此过程中,若使用电子负载的恒流(CC)模式并设置了较大的拉载电流,则可能因LDO尚未具备足够的带载能力,导致输出电压无法正常建立,从而引发启动失败。
下文对其过程进行分析:
1.当电子负载(EL)带小负载电流(记为Io_small)上电启动时,LDO最大输出电流Iout_max>Io_small,参考图8,假设Iout_max=50mA,Io_small=10mA,则最多有40mA 的输出电流可用于给Cout充电,因此可以正常建立Vout。

2.当电子负载(EL)带大负载电流(记为Io_large)上电启动时,LDO最大输出电流Iout_max≤Io_large,参考图9,假设Iout_max=50mA,Io_large=100mA,由于Iout_max不足以供给 EL 抽取的Io_large,因此一开始Cout存储的电荷也会被EL全部抽取,此时Vout则跌落到了0V,进而触发LDO输出短路保护。最终EL所能抽取的电流为输出短路保护的限流值Ishort。由于没有多余的电流给Cout充电,因此无法正常建立Vout。

4 电子负载CR模式注意点
电子负载的恒阻(CR)模式不是绝对的阻性,仅是模拟电阻特性,其工作原理是先检测电子负载两端的电压,再根据欧姆定律计算自身需拉载的电流值。然而,在电压检测的时间段内,负载电流是不确定状态。因此,应特别注意避免在电子负载开启瞬间拉载的电流超出LDO的最大输出电流能力,否则可能导致LDO因过流而触发短路保护功能。
5 LDO启动震荡改善
5.1 产生原因
LDO启动过程的启动电流过大可能导致其输入电源发生震荡,表现为输入电压(Vin )出现震荡或回沟,波形示意如图10所示。
注意: Vout的启动平台为LDO芯片本身的特性,与Vin发生震荡这一现象没有关系。
5.2 改善方法
1.减小输出电容
根据公式 I = Cx·(dU/dt),若减小输出电容Cout ,启动电流则随之降低,Vin震荡会有一定改善。
2. 增大输入电容
增大输入电容Cin,一方面有利于稳定Vin电压;另一方面降低了Vin的启动速度,从而降低了 Vout 的启动速度。由公式I = C·x (dU/dt)可知,降低了Vout的启动速度可以进一步降低启动电流,Vin 震荡可进一步改善。
6 负载瞬态响应优化
6.1 增大输出电容
通常LDO在输出端并联的μF级别大电容,无论何种类型的电容,都存在寄生的等效串联电阻(ESR);该 ESR 电阻得到有效利用,依靠大电容及ESR电阻将产生一个零点,合理设置该零点位置,可以保证系统的稳定性。另外由于 PCB 板上和芯片内部的连线会寄生出等效串联电感(ESL),也会对 LDO 的瞬态响应造成一定影响。因此考虑负载瞬态响应的过冲/欠冲电压需要多考虑两个因素:①电流流经 ESR 电阻会产生一定压降,即△VESR;②输出端的电容还会存在小量寄生的ESL,电感上电流的变化也会产生压降,从而引起输出电压的变化,即△V ESL ,如图11所示。

采用图11的电路来分析LDO的瞬态特性。为便于分析,在LDO的输出端施加一个从0阶跃到最大输出电流,再从最大输出电流阶跃至0的负载电流值。

图12展示了负载电流出现阶跃后的输出电压响应示意图。由图12可见,如果负载电流Iout有一个从小到大的阶跃,输出电压会产生一个大的跌落,在△t1时间内降低Vdip 。之后输出电压开始趋向于平衡状态,经过△t2时间后,输出电压达到稳定的平衡状态,此时的输出电压比轻载情况的输出电压低Vdiff (由负载调整率引入)。如果负载电流出现一个从高到低的阶跃,输出电压会产生一个大的峰值,在△t4时间内上升Vpeak。之后输出电压开始趋向于平衡状态,经过△t5时间后,输出电压达到稳定的平衡状态,此时的输出电压比重负载情况的输出电压高Vdiff。若对其进行定量分析,则有:
(3)
(4)
式(3)中,△VESR和△VESL分别是输出电压变化在输出电容的ESR电阻和ESL电感上产生的压降。由式(3)可见,Vdip(peak)是负载电流变化幅度△Iout、响应时间△t1(4),输出电容Cout和旁路电容Cb的函数,显然增大Cout可以减小Vdip(peak)。
式(4)中,BWcl为系统环路带宽、Cpar为调整管栅极电容,△VG为负载阶跃变化后调整管栅极电位的改变量,ISR为调整管的栅极驱动电流。下文将进一步分析,增加假负载(即贴片功率电阻)可以增大系统环路带宽BWcl,因此减小响应时间△t1(4),从而减小Vdip(peak)。
6.2 增加假负载
图13给出了系统的交流小信号模型以研究LDO的频率响应特性,此处调整元件为PMOS管。

为了分析该系统的环路稳定性,需先将图13中反馈回路的A点断开,然后再分析系统环路的传输函数。根据增益辅助定理,VFB和VREF之间的传输函数为式(5)。
(5)
假设误差放大器为一阶模型,即只考虑其输出主极点对系统稳定性的影响;Rpar和Cpar分别为误差放大器和调整管连接点(即PMOS管栅端)的对地等效电阻和电容;ga和gp分别是误差放大器和调整元件的等效跨导;ZO是输出端的等效阻抗,其表达式为式(6)。
(6)
其中,Cout是LDO输出端外接的大电容,其串联等效电阻为RESR;旁路电容Cb(通常为100nF, 即 Cb<>RESR。
结合式(5)和式(6)可得影响LDO系统稳定性的主要零极点如式(7)~式(10)。
(7)
(8)
(9)
(10)
式(7)中,Rds≈1/λID,λ 为PMOS调整管的沟长调制系数,ID为PMOS调整管的漏电流。注意ID不等同于负载电流IL,还包括了采样电阻的对地漏电流 Isense_gnd,即ID=IL+Isense_gnd,如图 14 所示。 通常规格书中会给出 Isense_gnd的最小值,用以限定空载时主极点的最小值,保证最小系统环路带宽以保证稳定性。

由式(7)~式(10)可见,主极点 PO 由输出电容 Cout 和等效负载 RL’(RL’=RL||(R1+R2))并联构成;极点 Pa 由 Rpar和 Cpar 并联构成,它处于 LDO 系统的内部;极点 Pb 由旁路电容 Cb 和 Cout 的等效寄生电阻 RESR 并联构成;零点 ZESR 由 RESR和 Cout 串联构成。
图15给出了LDO系统的零极点分布示意图,包括环路幅频特性曲线和相频特性曲线。增加假负载(即在输出端人为并联一个电阻,此时输出等效负载 RL’减小),使得主极点频率(ωp=1/(RL’xCout))增大,零极点分布图中表现为使主极点 PO 外推,因此穿越频率 UGF 也往外推,从而增大了系统环路带宽BWcl。再由式(4)可推出,系统环路带宽 BWcl 增大,响应时间 △t1(4) 减小,从而 Vdip(peak) 相应减小。

7 LDO并联使用
7.1 精度与负载调整率
两颗 LDO 并联使用时,LDO1 和 LDO2 的精度(Accuracy)与并联后输出电压的负载调整率 (Load Regulation)成正比。因此 从负载调整率的角度考虑,直接并联比较适用于高精度的 LDO 。 详见下面理论分析。

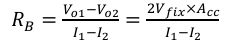
由图16分析可知,Vout=Vo1–I1xRB=Vo2–I2xRB。则有:
(1)
分析式(1)可得:
由于同一型号的不同样品之间的精度存在个体差异,因此 Vo1一般不会完全等于 Vo2,即 (Vo1-Vo2)≠0,故RB≠0。可见两个平衡电阻RB是必须存在的。如果没有两个RB,那么将会通过Vo1(2) 到Vout之间导线的寄生电阻来充当RB的功能,但是该寄生电阻非常小,这将导致(I1-I2)会非常大,即其中一颗LDO的输出电流远大于另外一颗。这可能导致电流较大的那颗LDO因为功耗过大而触发过热保护。
作为分子的(I1-I2)≠0,意味着I1和I2之间必然存在电流差(称为均衡电流)。实际应用中可以通过设定均衡电流值来决定RB的大小。
图 16 中,LDO 的精度为±Acc(%),固定输出电压值为 Vfix。考虑最恶劣的情况,即Vo1=Vfixx(1+Acc),Vo2=Vfixx(1-Acc),则 Vo1-Vo2=Vfix x2Acc。设定 I1和 I2的均衡电流(I1-I2),由式(1)可 得出:
(2)
由式(2)可见,当设定了某一均衡电流值后,平衡电阻的阻值 RB 与 (Vo1-Vo2) 成正比,从而RB与LDO的精度Acc成正比。
由于负载调整率=Vout(空载)-Vout(满载),因此需要分析空载和满载条件下的Vout值。

对于图17,Vo1=Vfixx(1+Acc),Vo2=Vfixx(1-Acc),则有 Vo1>Vo2,此时有从 Vo1到Vo2方向的电流(如图17中蓝色虚线),但 LDO2 没有吸收电流的能力,因此内部电路会控制 LDO2的调整管关断,此时LDO2没有输出,即Vout(空载)=Vo1。

如图18,当输出开始加载电流时,Vout=Vo1–I1xRB。只要 Vout 仍高于 Vo2,LDO2就处于关断状 态,此时 I1=Iout,因此Vout随着Iout的增大而下降。当Vout下降到小于Vo2时,LDO2开始工作,并 输出电流 I2,此时Iout=I1+I2,则Vout(满载)=Vo1–I1xRB=Vo2–I2xRB。
综上可得,负载调整率=Vout(空载)-Vout(满载)=I1xRB,可见负载调整率与平衡电阻的阻值 RB成正比。
由上文分析可知,RB与LDO的精度Acc成正比,因此可得出:两颗LDO并联使用时,LDO1 和 LDO2的精度与并联后输出电压的负载调整率成正比。负载调整率的值越小,所要求的LDO精度值越小(即高精度),这也说明了直接并联比较适用于高精度的LDO2。
Tips:两个RB的引入改变了LDO电路系统的零极点情况,对稳定性的影响需要进一步评估。
7.2 并联LDO的优势
负载电流更大,可支持更大的负载需求;
针对给定的负载电流,电源抑制比(PSRR)更高;
散热性能更出色;
压降要求更低。
注意:必须使用一个平衡电阻将每个LDO的输出连接在一起;在大电流应用时,平衡电阻会承受不小的功率,因此选型时需确定合适的额定功率。
8 结语
LDO的可靠与高效,源于其内部环路与输入电源、输出负载及补偿网络所构成系统的协同优化。从启动到稳态带载,从瞬态响应到多器件并联,每一项性能的提升都建立在对环路特性与外部条件匹配关系的深刻理解之上。这要求我们在输出电容配置、负载特性适配以及补偿网络设计之间,作出精准的权衡,进而采取相应的优化措施,构建稳定且高效的电源路径。
参考文献
[1] SG Micro Corp. SGM2205 Datasheet [EB/OL]. (2022-8). https://www.sg-micro.com/rect/assets/f75ab42b-df5c-4a29-aa27-f5e64edd45b6/SGM2205.pdf.
[2] SG Micro Corp. SGM2208 Datasheet [EB/OL]. (2022-9). https://www.sg-micro.com/rect/assets/8d8524fc-a95f-4700-b785-32246e828256/SGM2208.pdf.
注释
1 EN引脚为使能引脚。将EN引脚置高开启稳压器,置低关闭稳压器。如果不使用EN引脚,则必须通过连接至IN引脚的外部电阻将该引脚拉高。
2 例如圣邦微电子公司的SGM2208,其规格书中提供了直接并联的应用参考电路。[2]
关于圣邦微电子
圣邦微电子(北京)股份有限公司(股票代码300661)作为高性能、高品质综合性模拟集成电路供应商,产品覆盖信号链、电源管理、传感器及存储器等几大领域。公司拥有38大类近7,000款可销售型号,为工业与能源、汽车、网络与计算和消费电子等领域提供各类模拟及混合信号创新解决方案。
